avatar
文章
162
标签
264
分类
71

主页
博文
  • 分类
  • 标签
  • 归档
留言板
StudyinCAU
搜索
主页
博文
  • 分类
  • 标签
  • 归档
留言板

第四节 多维随机变量的特征数

发表于2024-04-27|更新于2024-04-27|概率论第三章 多维随机变量及其分布
|字数总计:6|阅读时长:1分钟|阅读量:

下载PDF点这里

文章作者: 小楼一夜听春雨 & Rico
文章链接: https://studyincau.github.io/2024/04/27/gai-lu-lun-3-4-duo-wei-sui-ji-bian-liang-de-te-zheng-shu/
版权声明: 本博客所有文章除特别声明外,均采用 CC BY-NC-SA 4.0 许可协议。转载请注明来自 StudyinCAU!
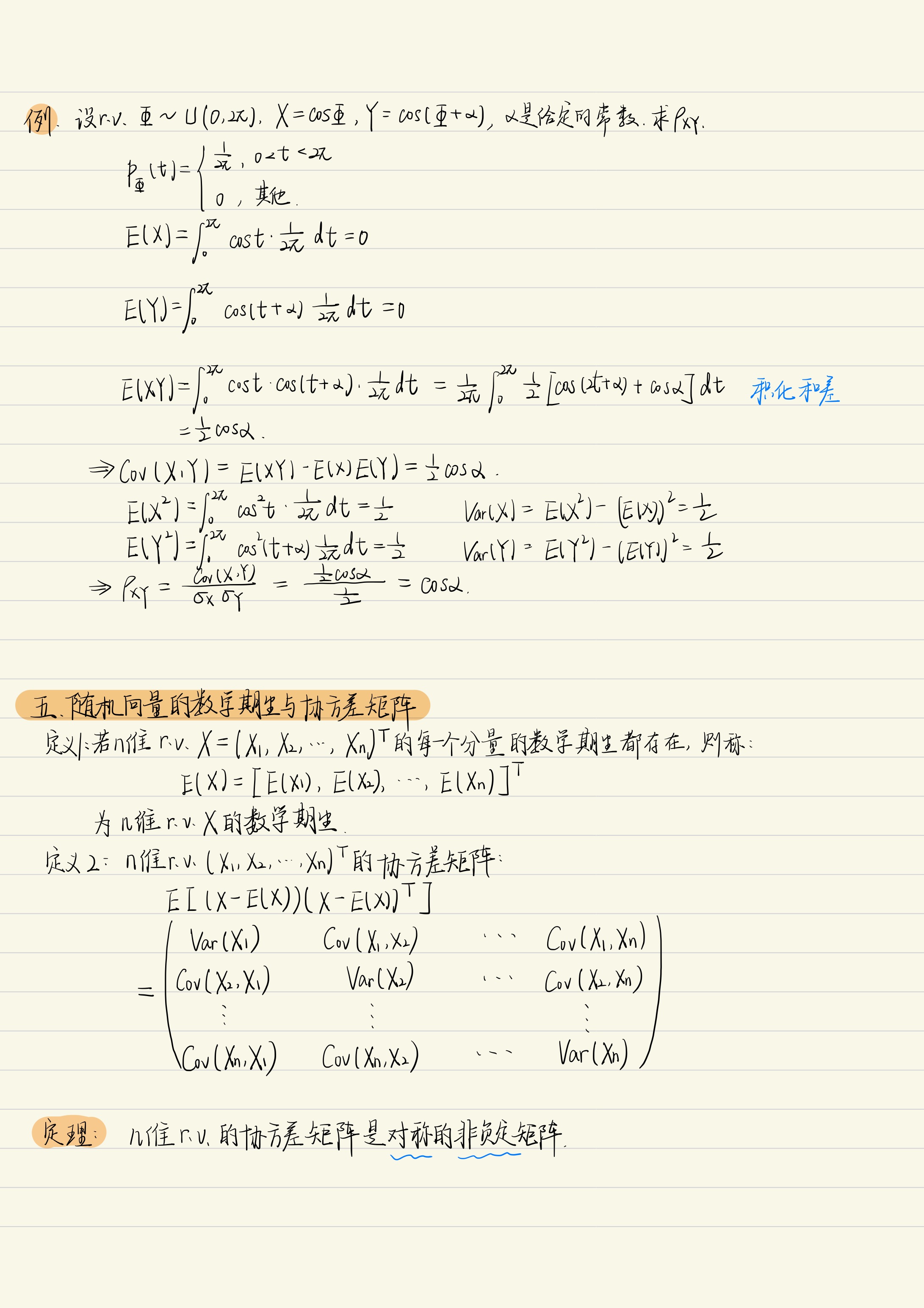
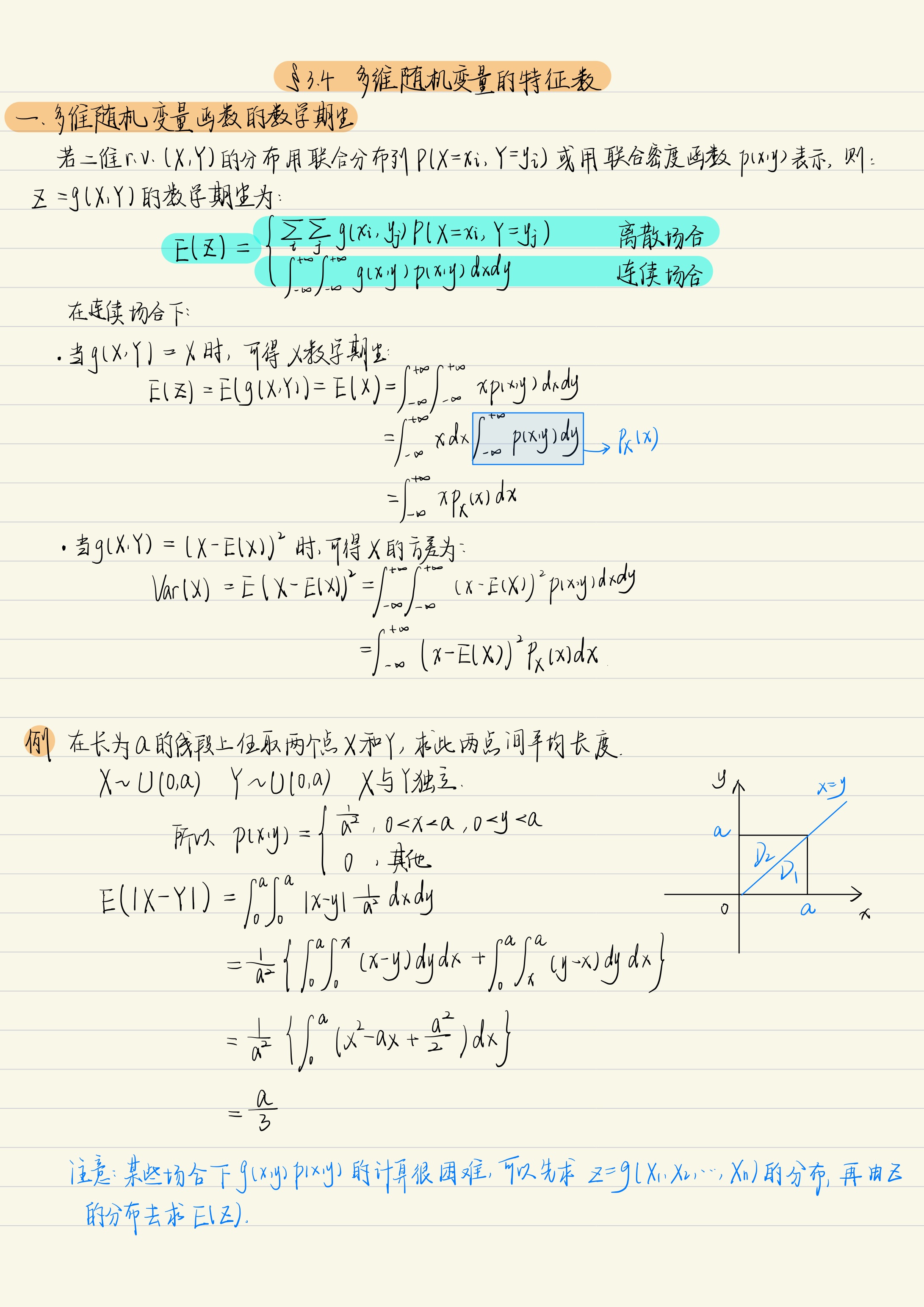
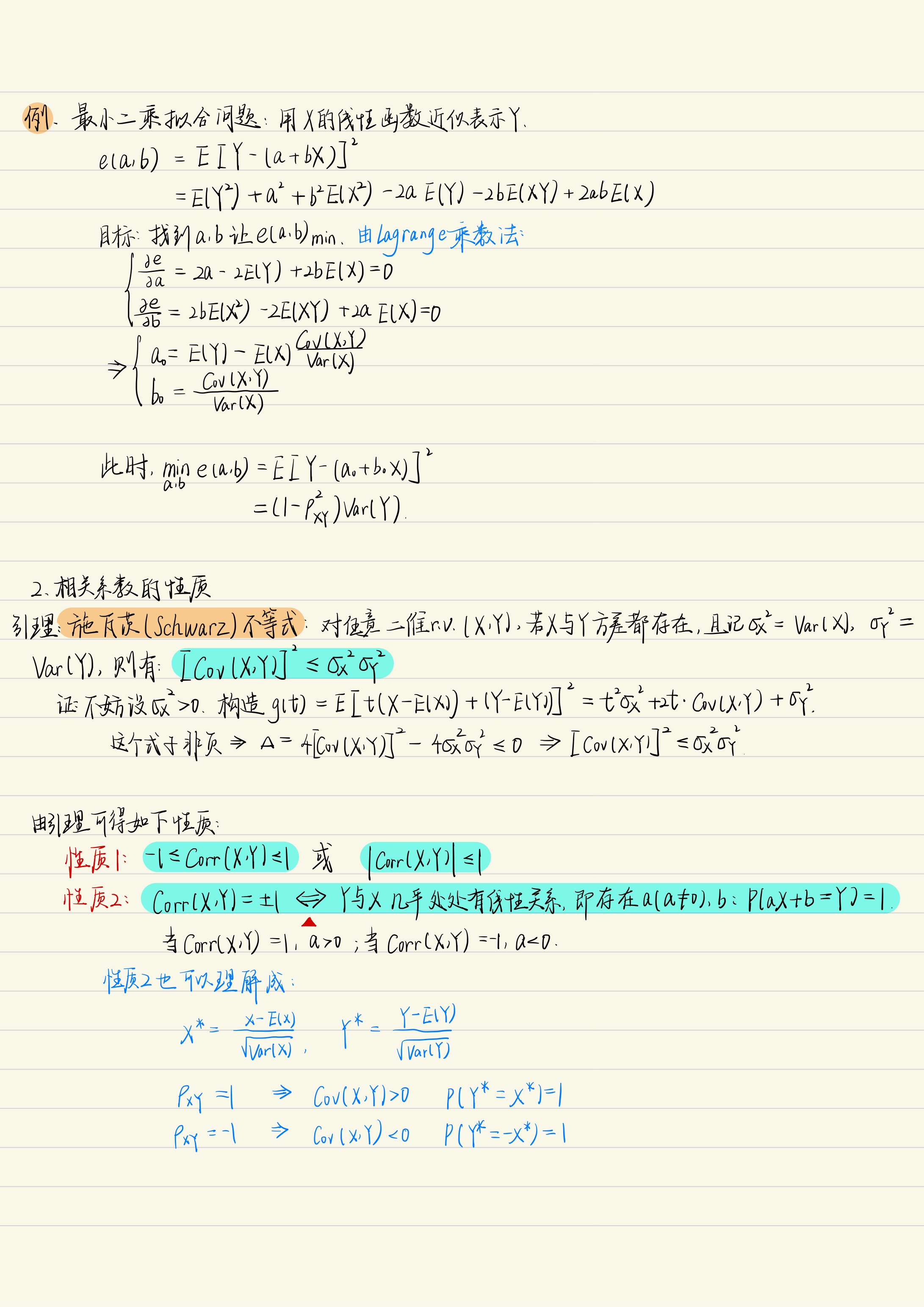
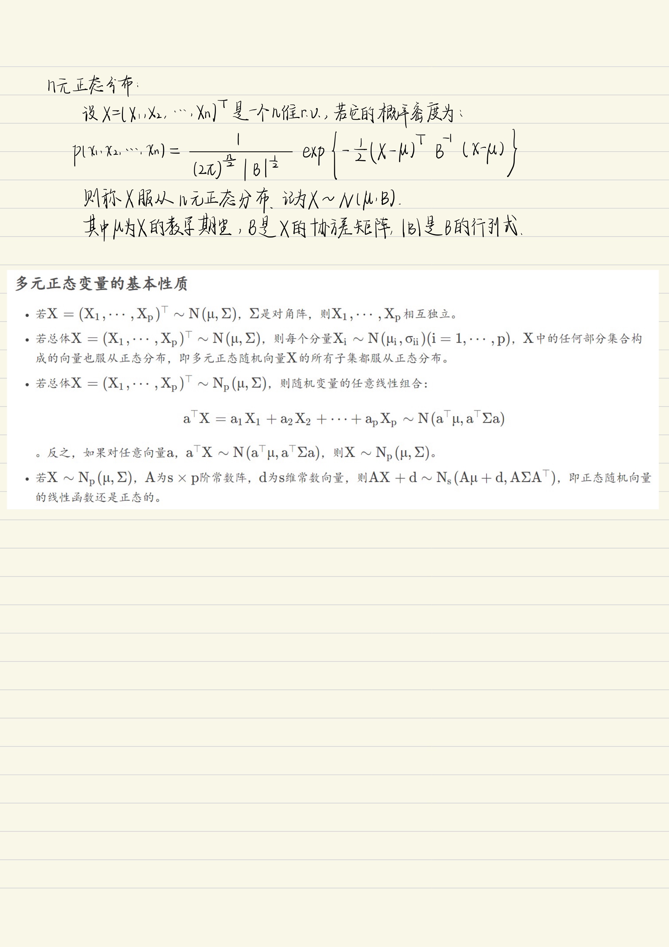
多维随机变量多为随机变量函数的数学期望协方差相关系数协方差矩阵
cover of previous post
上一篇
第1章 统计学习方法概论
cover of next post
下一篇
第五节 条件分布与条件期望
相关推荐
cover
2024-04-13
第一节 多维随机变量及其联合分布
cover
2024-04-13
第二节 边际分布与随机变量的独立性
cover
2024-04-27
第三节 多维随机变量函数的分布
cover
2024-04-27
第五节 条件分布与条件期望

评论
avatar
小楼一夜听春雨 & Rico
Study
文章
162
标签
264
分类
71
Follow Me
公告
这是一个分享学习笔记(资料)的网站,欢迎一起学习、交流。如果你有好的文章也想分享,可以发邮箱(邮箱在公告上方~)[若出现渲染问题或加载过慢,推荐用谷歌或Edge浏览器打开]
最新文章
第六章 视觉处理基础
第六章 视觉处理基础2025-10-16
第五章 机器学习基础
第五章 机器学习基础2025-10-14
第四章 PyTorch 数据处理工具箱
第四章 PyTorch 数据处理工具箱2025-10-14
第三章 PyTorch 神经网络工具箱
第三章 PyTorch 神经网络工具箱2025-10-13
第二章 PyTorch 基础
第二章 PyTorch 基础2025-10-10
©2023 - 2025 By 小楼一夜听春雨 & Rico
框架 Hexo|主题 Butterfly
搜索
数据库加载中