avatar
文章
162
标签
264
分类
71

主页
博文
  • 分类
  • 标签
  • 归档
留言板
StudyinCAU
搜索
主页
博文
  • 分类
  • 标签
  • 归档
留言板

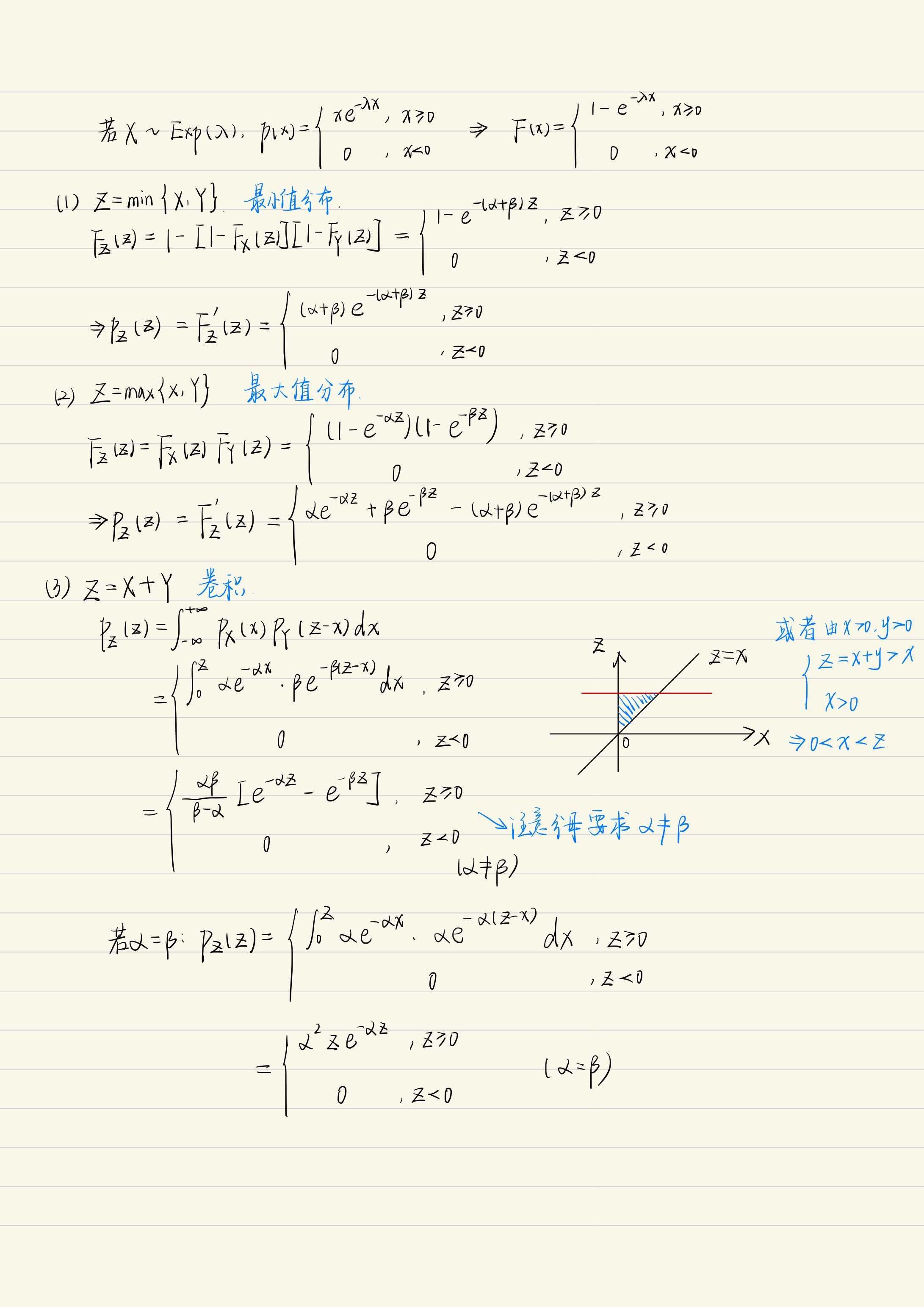
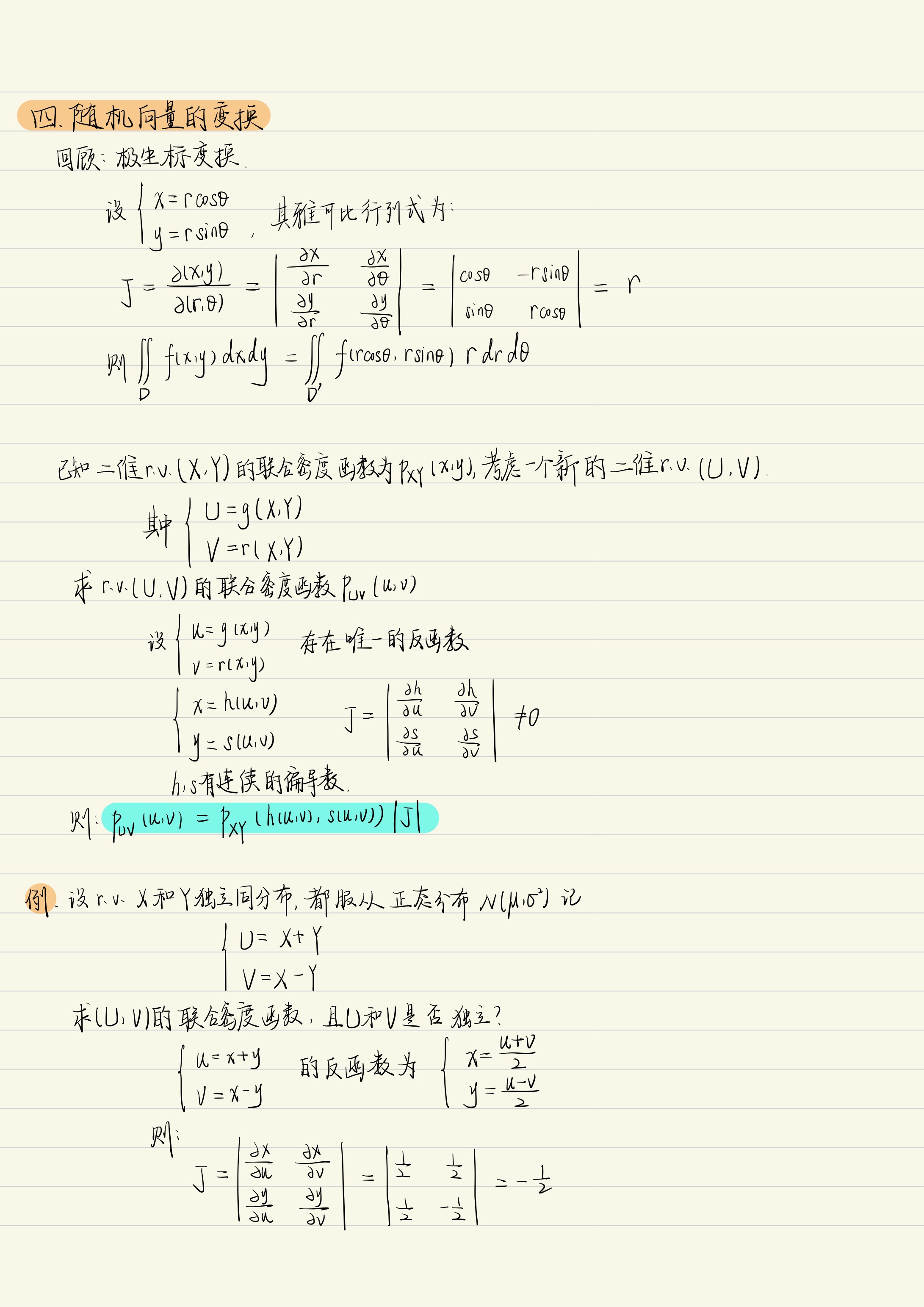
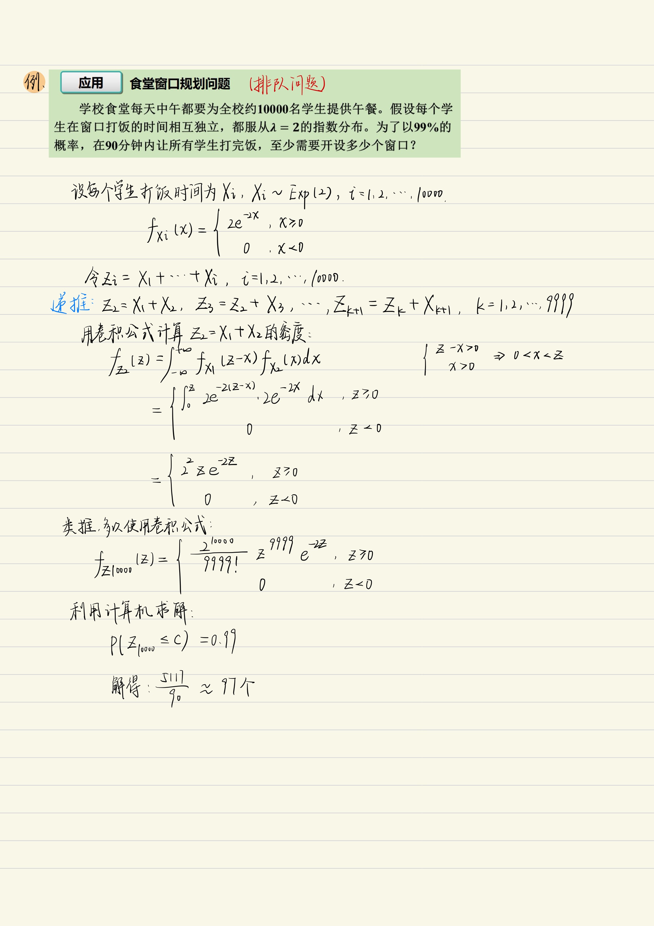
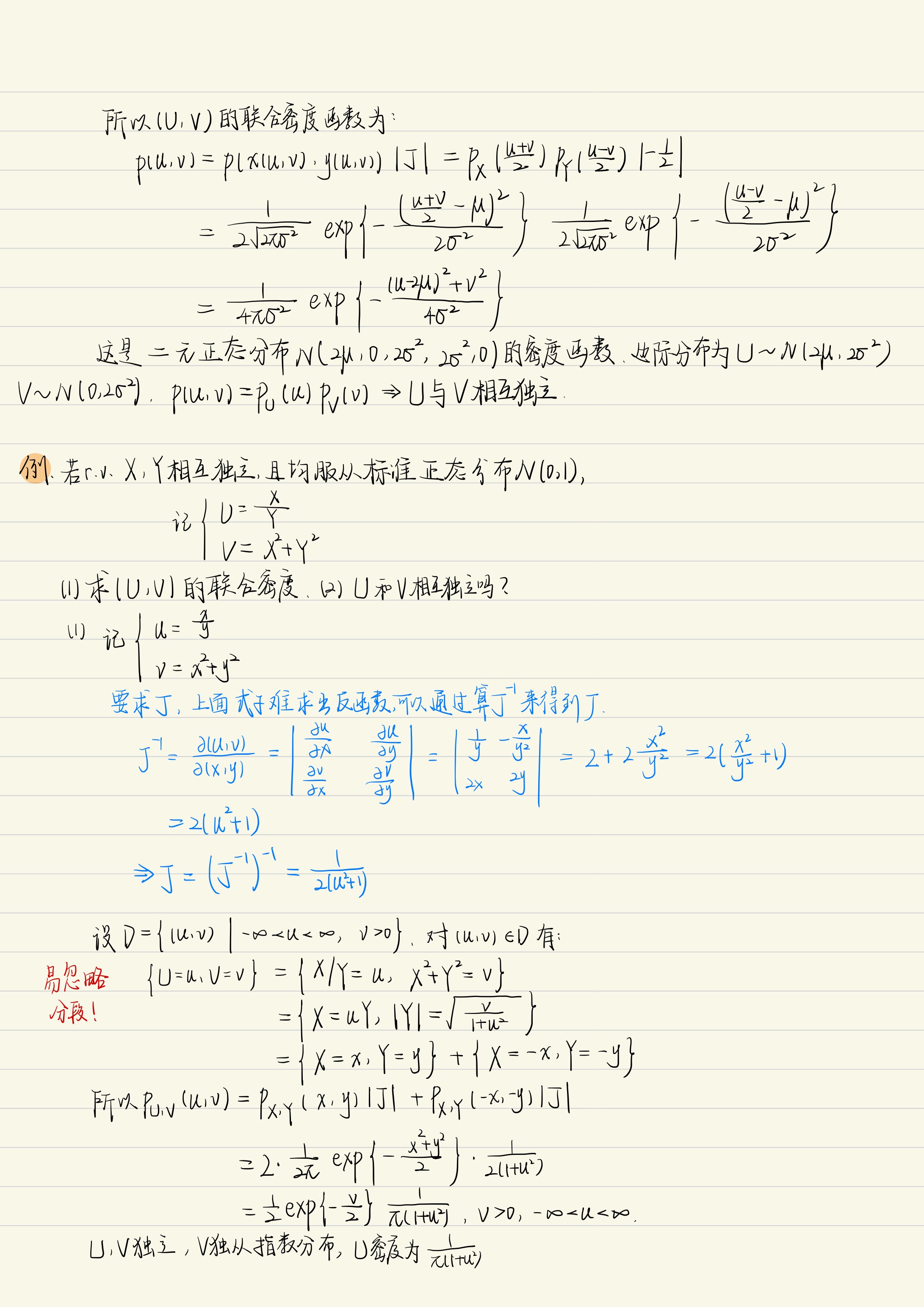
第三节 多维随机变量函数的分布

发表于2024-04-27|更新于2024-04-27|概率论第三章 多维随机变量及其分布
|字数总计:6|阅读时长:1分钟|阅读量:

下载PDF点这里

文章作者: 小楼一夜听春雨 & Rico
文章链接: https://studyincau.github.io/2024/04/27/gai-lu-lun-3-3-duo-wei-sui-ji-bian-liang-han-shu-de-fen-bu/
版权声明: 本博客所有文章除特别声明外,均采用 CC BY-NC-SA 4.0 许可协议。转载请注明来自 StudyinCAU!
多维随机变量最大值与最小值分布卷积公式变量变换法雅可比矩阵
cover of previous post
上一篇
第五节 条件分布与条件期望
cover of next post
下一篇
第四节 中心极限定理
相关推荐
cover
2024-04-13
第一节 多维随机变量及其联合分布
cover
2024-04-13
第二节 边际分布与随机变量的独立性
cover
2024-04-27
第四节 多维随机变量的特征数
cover
2024-04-27
第五节 条件分布与条件期望

评论
avatar
小楼一夜听春雨 & Rico
Study
文章
162
标签
264
分类
71
Follow Me
公告
这是一个分享学习笔记(资料)的网站,欢迎一起学习、交流。如果你有好的文章也想分享,可以发邮箱(邮箱在公告上方~)[若出现渲染问题或加载过慢,推荐用谷歌或Edge浏览器打开]
最新文章
第六章 视觉处理基础
第六章 视觉处理基础2025-10-16
第五章 机器学习基础
第五章 机器学习基础2025-10-14
第四章 PyTorch 数据处理工具箱
第四章 PyTorch 数据处理工具箱2025-10-14
第三章 PyTorch 神经网络工具箱
第三章 PyTorch 神经网络工具箱2025-10-13
第二章 PyTorch 基础
第二章 PyTorch 基础2025-10-10
©2023 - 2025 By 小楼一夜听春雨 & Rico
框架 Hexo|主题 Butterfly
搜索
数据库加载中