文章
162
标签
264
分类
71
主页
博文
分类
标签
归档
留言板
StudyinCAU
搜索
主页
博文
分类
标签
归档
留言板
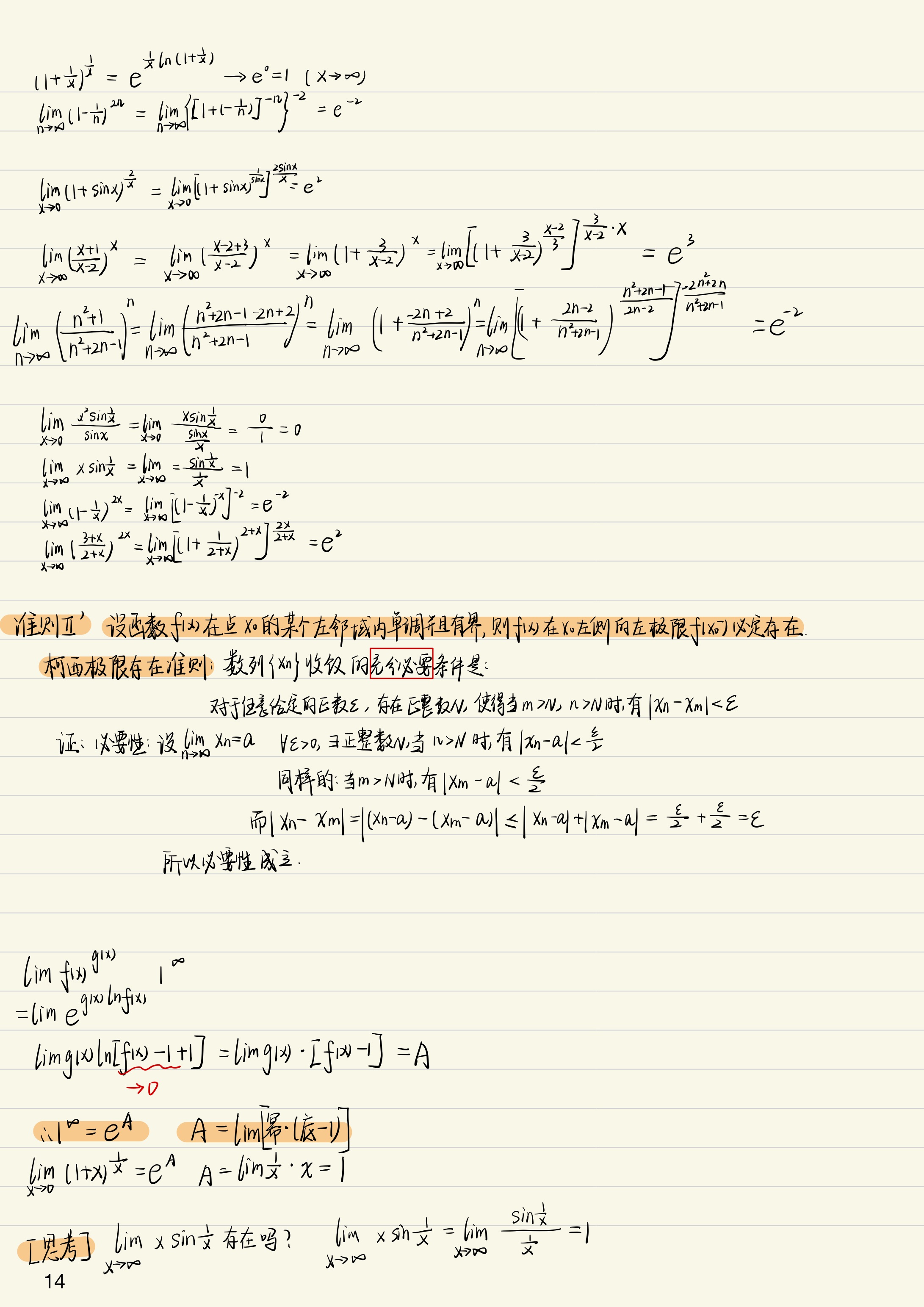
第六节 极限存在准则 两个重要极限
发表于
2024-08-20
|
更新于
2024-08-20
|
高等数学
一元微积分
第一章 函数与极限
|
字数总计:
6
|
阅读时长:
1分钟
|
阅读量:
下载PDF点这里
文章作者:
小楼一夜听春雨 & Rico
文章链接:
https://studyincau.github.io/2024/08/20/yi-yuan-wei-ji-fen-1-6-ji-xian-cun-zai-zhun-ze-liang-ge-chong-yao-ji-xian/
版权声明:
本博客所有文章除特别声明外,均采用
CC BY-NC-SA 4.0
许可协议。转载请注明来自
StudyinCAU
!
极限
上一篇
第七节 无穷小的比较
下一篇
第四、五节 无穷小与无穷大 极限运算法则
相关推荐
2024-08-20
第三节 函数的极限
2024-08-29
第十节 闭区间上连续函数的性质
2024-08-20
第二节 数列的极限
2024-08-20
第四、五节 无穷小与无穷大 极限运算法则
2024-08-29
第八节 函数的连续性与间断点
2024-08-29
第九节 连续函数的运算与初等函数的连续性
评论
小楼一夜听春雨 & Rico
Study
文章
162
标签
264
分类
71
Follow Me
公告
这是一个分享学习笔记(资料)的网站,欢迎一起学习、交流。如果你有好的文章也想分享,可以发邮箱(邮箱在公告上方~)[若出现渲染问题或加载过慢,推荐用谷歌或Edge浏览器打开]
最新文章
第六章 视觉处理基础
2025-10-16
第五章 机器学习基础
2025-10-14
第四章 PyTorch 数据处理工具箱
2025-10-14
第三章 PyTorch 神经网络工具箱
2025-10-13
第二章 PyTorch 基础
2025-10-10
搜索
数据库加载中