第3章 k近邻法

  1. \(k\)近邻法是基本且简单的分类与回归方法。\(k\)近邻法的基本做法是:对给定的训练实例点和输入实例点,首先确定输入实例点的\(k\)个最近邻训练实例点,然后利用这\(k\)个训练实例点的类的多数来预测输入实例点的类。

  2. \(k\)近邻模型对应于基于训练数据集对特征空间的一个划分。\(k\)近邻法中,当训练集、距离度量、\(k\)值及分类决策规则确定后,其结果唯一确定。

  3. \(k\)近邻法三要素:距离度量、\(k\)值的选择和分类决策规则。常用的距离度量是欧氏距离及更一般的pL距离。\(k\)值小时,\(k\)近邻模型更复杂;\(k\)值大时,\(k\)近邻模型更简单。\(k\)值的选择反映了对近似误差与估计误差之间的权衡,通常由交叉验证选择最优的\(k\)

  4. 常用的分类决策规则是多数表决,对应于经验风险最小化。

  5. \(k\)近邻法的实现需要考虑如何快速搜索k个最近邻点。kd树是一种便于对k维空间中的数据进行快速检索的数据结构。kd树是二叉树,表示对\(k\)维空间的一个划分,其每个结点对应于\(k\)维空间划分中的一个超矩形区域。利用kd树可以省去对大部分数据点的搜索, 从而减少搜索的计算量。

    图1:k近邻法的模型对应特征空间的一个划分

距离度量

设特征空间\(x\)\(n\)维实数向量空间 ,\(x_{i}, x_{j} \in \mathcal{X}\), \[ x_{i}=\left(x_{i}^{(1)}, x_{i}^{(2)}, \cdots, x_{i}^{(n)}\right)^{\mathrm{T}} \]

\[ x_{j}=\left(x_{j}^{(1)}, x_{j}^{(2)}, \cdots, x_{j}^{(n)}\right)^{\mathrm{T}} \]

则:\(x_i\),\(x_j\)\(L_p\)距离定义为: \[ L_{p}\left(x_{i}, x_{j}\right)=\left(\sum_{i=1}^{n}\left|x_{i}^{(i)}-x_{j}^{(l)}\right|^{p}\right)^{\frac{1}{p}} \]

  • \(p= 1\) 曼哈顿距离

\[ L_1\left(x_i, x_j\right)=\sum_{l=1}^n\left|x_i^{(l)}-x_j^{(l)}\right| \]

  • \(p= 2\) 欧氏距离

\[ L_2\left(x_i, x_j\right)=\left(\sum_{l=1}^n\left|x_i^{(l)}-x_j^{(l)}\right|^2\right)^{\frac{1}{2}} \]

  • \(p= \infty\) 切比雪夫距离

\[ L_{\infty}\left(x_i, x_j\right)=\max _l\left|x_i^{(l)}-x_j^{(l)}\right| \]

import math
from itertools import combinations
def L(x, y, p=2):
# x1 = [1, 1], x2 = [5,1]
if len(x) == len(y) and len(x) > 1:
sum = 0
for i in range(len(x)):
sum += math.pow(abs(x[i] - y[i]), p)
return math.pow(sum, 1 / p)
else:
return 0

例:

已知二维空间的 3 个点 \(x_1=(1,1)^{\mathrm{T}}, x_2=(5,1)^{\mathrm{T}}, x_3=(4,4)^{\mathrm{T}}\), 试求在 \(p\) 取不同值时, \(L_p\) 距离下 \(x_1\) 的最近邻点。

x1 = [1, 1]
x2 = [5, 1]
x3 = [4, 4]
# x1, x2
for i in range(1, 5):
r = {'1-{}'.format(c): L(x1, c, p=i) for c in [x2, x3]}
print(min(zip(r.values(), r.keys())))

Output[ ]

(4.0, '1-[5, 1]')
(4.0, '1-[5, 1]')
(3.7797631496846193, '1-[4, 4]')
(3.5676213450081633, '1-[4, 4]')

python实现,遍历所有数据点,找出\(n\)个距离最近的点的分类情况,少数服从多数

import numpy as np
import pandas as pd
import matplotlib.pyplot as plt
%matplotlib inline

from sklearn.datasets import load_iris
from sklearn.model_selection import train_test_split
from collections import Counter
# data
iris = load_iris()
df = pd.DataFrame(iris.data, columns=iris.feature_names)
df['label'] = iris.target
df.columns = ['sepal length', 'sepal width', 'petal length', 'petal width', 'label']
# data = np.array(df.iloc[:100, [0, 1, -1]])
df

Output[ ] \[ \begin{aligned} &\begin{array}{|l|l|l|l|l|l|} \hline & \text { sepal length } & \text { sepal width } & \text { petal length } & \text { petal width } & \text { label } \\ \hline \mathbf{0} & 5.1 & 3.5 & 1.4 & 0.2 & 0 \\ \hline \mathbf{1} & 4.9 & 3.0 & 1.4 & 0.2 & 0 \\ \hline \mathbf{2} & 4.7 & 3.2 & 1.3 & 0.2 & 0 \\ \hline \mathbf{3} & 4.6 & 3.1 & 1.5 & 0.2 & 0 \\ \hline \mathbf{4} & 5.0 & 3.6 & 1.4 & 0.2 & 0 \\ \hline \ldots & \ldots & \ldots & \ldots & \ldots & \ldots \\ \hline \mathbf{1 4 5} & 6.7 & 3.0 & 5.2 & 2.3 & 2 \\ \hline \mathbf{1 4 6} & 6.3 & 2.5 & 5.0 & 1.9 & 2 \\ \hline \mathbf{1 4 7} & 6.5 & 3.0 & 5.2 & 2.0 & 2 \\ \hline \mathbf{1 4 8} & 6.2 & 3.4 & 5.4 & 2.3 & 2 \\ \hline \mathbf{1 4 9} & 5.9 & 3.0 & 5.1 & 1.8 & 2 \\ \hline \end{array}\\ &150 \text { rows } \times 5 \text { columns } \end{aligned} \]

plt.scatter(df[:50]['sepal length'], df[:50]['sepal width'], label='0')
plt.scatter(df[50:100]['sepal length'], df[50:100]['sepal width'], label='1')
plt.xlabel('sepal length')
plt.ylabel('sepal width')
plt.legend()

Output[ ]

<matplotlib.legend.Legend at 0x223cea49490>

data = np.array(df.iloc[:100, [0, 1, -1]])
X, y = data[:,:-1], data[:,-1]
X_train, X_test, y_train, y_test = train_test_split(X, y, test_size=0.2)
class KNN:
def __init__(self, X_train, y_train, n_neighbors=3, p=2):
"""
parameter: n_neighbors 临近点个数
parameter: p 距离度量
"""
self.n = n_neighbors
self.p = p
self.X_train = X_train
self.y_train = y_train

def predict(self, X):
# 取出n个点
knn_list = []
for i in range(self.n):
dist = np.linalg.norm(X - self.X_train[i], ord=self.p)
knn_list.append((dist, self.y_train[i]))

for i in range(self.n, len(self.X_train)):
max_index = knn_list.index(max(knn_list, key=lambda x: x[0]))
dist = np.linalg.norm(X - self.X_train[i], ord=self.p)
if knn_list[max_index][0] > dist:
knn_list[max_index] = (dist, self.y_train[i])

# 统计
knn = [k[-1] for k in knn_list]
count_pairs = Counter(knn)
# max_count = sorted(count_pairs, key=lambda x: x)[-1]
max_count = sorted(count_pairs.items(), key=lambda x: x[1])[-1][0]
return max_count

def score(self, X_test, y_test):
right_count = 0
n = 10
for X, y in zip(X_test, y_test):
label = self.predict(X)
if label == y:
right_count += 1
return right_count / len(X_test)
clf = KNN(X_train, y_train)
clf.score(X_test, y_test)

Output[ ]

1.0
test_point = [6.0, 3.0]
print('Test Point: {}'.format(clf.predict(test_point)))

Output[ ]

Test Point: 1.0
plt.scatter(df[:50]['sepal length'], df[:50]['sepal width'], label='0')
plt.scatter(df[50:100]['sepal length'], df[50:100]['sepal width'], label='1')
plt.plot(test_point[0], test_point[1], 'bo', label='test_point')
plt.xlabel('sepal length')
plt.ylabel('sepal width')
plt.legend()

Output[ ]

<matplotlib.legend.Legend at 0x223d67b9490>

scikit-learn实例

from sklearn.neighbors import KNeighborsClassifier
clf_sk = KNeighborsClassifier()
clf_sk.fit(X_train, y_train)
clf_sk.score(X_test, y_test)

Output[ ]

1.0

sklearn.neighbors.KNeighborsClassifier

  • n_neighbors: 临近点个数
  • p: 距离度量
  • algorithm: 近邻算法,可选{'auto', 'ball_tree', 'kd_tree', 'brute'}
  • weights: 确定近邻的权重

kd树

kd树是一种对k维空间中的实例点进行存储以便对其进行快速检索的树形数据结构。

kd树是二叉树,表示对\(k\)维空间的一个划分(partition)。构造kd树相当于不断地用垂直于坐标轴的超平面将\(k\)维空间切分,构成一系列的k维超矩形区域。kd树的每个结点对应于一个\(k\)维超矩形区域。

构造kd树的方法如下:

构造根结点,使根结点对应于\(k\)维空间中包含所有实例点的超矩形区域;通过下面的递归方法,不断地对\(k\)维空间进行切分,生成子结点。在超矩形区域(结点)上选择一个坐标轴和在此坐标轴上的一个切分点,确定一个超平面,这个超平面通过选定的切分点并垂直于选定的坐标轴,将当前超矩形区域切分为左右两个子区域(子结点);这时,实例被分到两个子区域。这个过程直到子区域内没有实例时终止(终止时的结点为叶结点)。在此过程中,将实例保存在相应的结点上。

通常,依次选择坐标轴对空间切分,选择训练实例点在选定坐标轴上的中位数(median)为切分点,这样得到的kd树是平衡的。注意,平衡的kd树搜索时的效率未必是最优的。

构造平衡kd树算法

输入:\(k\)维空间数据集\(T=\{x_1,x_2,…,x_N\}\)

其中:\(x_{i}=\left(x_{i}^{(1)}, x_{i}^{(2)}, \cdots, x_{i}^{(k)}\right)^{\mathrm{T}}\)\(i=1,2,…,N\)

输出:kd树。

(1)开始:构造根结点,根结点对应于包含\(T\)\(k\)维空间的超矩形区域。

选择\(x^{(1)}\)为坐标轴,以T中所有实例的\(x^{(1)}\)坐标的中位数为切分点,将根结点对应的超矩形区域切分为两个子区域。切分由通过切分点并与坐标轴\(x^{(1)}\)垂直的超平面实现。

由根结点生成深度为1的左、右子结点:左子结点对应坐标\(x^{(1)}\)小于切分点的子区域, 右子结点对应于坐标\(x^{(1)}\)大于切分点的子区域。

将落在切分超平面上的实例点保存在根结点。

(2)重复:对深度为\(j\)的结点,选择\(x^{(1)}\)为切分的坐标轴,\(l=j(modk)+1\),以该结点的区域中所有实例的\(x^{(1)}\)坐标的中位数为切分点,将该结点对应的超矩形区域切分为两个子区域。切分由通过切分点并与坐标轴\(x^{(1)}\)垂直的超平面实现。

由该结点生成深度为\(j+1\)的左、右子结点:左子结点对应坐标\(x^{(1)}\)小于切分点的子区域,右子结点对应坐标\(x^{(1)}\)大于切分点的子区域。

将落在切分超平面上的实例点保存在该结点。

(3)直到两个子区域没有实例存在时停止。从而形成kd树的区域划分。

# kd-tree每个结点中主要包含的数据结构如下
class KdNode(object):
def __init__(self, dom_elt, split, left, right):
self.dom_elt = dom_elt # k维向量节点(k维空间中的一个样本点)
self.split = split # 整数(进行分割维度的序号)
self.left = left # 该结点分割超平面左子空间构成的kd-tree
self.right = right # 该结点分割超平面右子空间构成的kd-tree


class KdTree(object):
def __init__(self, data):
k = len(data[0]) # 数据维度

def CreateNode(split, data_set): # 按第split维划分数据集exset创建KdNode
if not data_set: # 数据集为空
return None
# key参数的值为一个函数,此函数只有一个参数且返回一个值用来进行比较
# operator模块提供的itemgetter函数用于获取对象的哪些维的数据,参数为需要获取的数据在对象中的序号
#data_set.sort(key=itemgetter(split)) # 按要进行分割的那一维数据排序
data_set.sort(key=lambda x: x[split])
split_pos = len(data_set) // 2 # //为Python中的整数除法
median = data_set[split_pos] # 中位数分割点
split_next = (split + 1) % k # cycle coordinates

# 递归的创建kd树
return KdNode(
median,
split,
CreateNode(split_next, data_set[:split_pos]), # 创建左子树
CreateNode(split_next, data_set[split_pos + 1:])) # 创建右子树

self.root = CreateNode(0, data) # 从第0维分量开始构建kd树,返回根节点


# KDTree的前序遍历
def preorder(root):
print(root.dom_elt)
if root.left: # 节点不为空
preorder(root.left)
if root.right:
preorder(root.right)
# 对构建好的kd树进行搜索,寻找与目标点最近的样本点:
from math import sqrt
from collections import namedtuple

# 定义一个namedtuple,分别存放最近坐标点、最近距离和访问过的节点数
result = namedtuple("Result_tuple",
"nearest_point nearest_dist nodes_visited")


def find_nearest(tree, point):
k = len(point) # 数据维度

def travel(kd_node, target, max_dist):
if kd_node is None:
return result([0] * k, float("inf"),
0) # python中用float("inf")和float("-inf")表示正负无穷

nodes_visited = 1

s = kd_node.split # 进行分割的维度
pivot = kd_node.dom_elt # 进行分割的“轴”

if target[s] <= pivot[s]: # 如果目标点第s维小于分割轴的对应值(目标离左子树更近)
nearer_node = kd_node.left # 下一个访问节点为左子树根节点
further_node = kd_node.right # 同时记录下右子树
else: # 目标离右子树更近
nearer_node = kd_node.right # 下一个访问节点为右子树根节点
further_node = kd_node.left

temp1 = travel(nearer_node, target, max_dist) # 进行遍历找到包含目标点的区域

nearest = temp1.nearest_point # 以此叶结点作为“当前最近点”
dist = temp1.nearest_dist # 更新最近距离

nodes_visited += temp1.nodes_visited

if dist < max_dist:
max_dist = dist # 最近点将在以目标点为球心,max_dist为半径的超球体内

temp_dist = abs(pivot[s] - target[s]) # 第s维上目标点与分割超平面的距离
if max_dist < temp_dist: # 判断超球体是否与超平面相交
return result(nearest, dist, nodes_visited) # 不相交则可以直接返回,不用继续判断

#----------------------------------------------------------------------
# 计算目标点与分割点的欧氏距离
temp_dist = sqrt(sum((p1 - p2)**2 for p1, p2 in zip(pivot, target)))

if temp_dist < dist: # 如果“更近”
nearest = pivot # 更新最近点
dist = temp_dist # 更新最近距离
max_dist = dist # 更新超球体半径

# 检查另一个子结点对应的区域是否有更近的点
temp2 = travel(further_node, target, max_dist)

nodes_visited += temp2.nodes_visited
if temp2.nearest_dist < dist: # 如果另一个子结点内存在更近距离
nearest = temp2.nearest_point # 更新最近点
dist = temp2.nearest_dist # 更新最近距离

return result(nearest, dist, nodes_visited)

return travel(tree.root, point, float("inf")) # 从根节点开始递归

例:

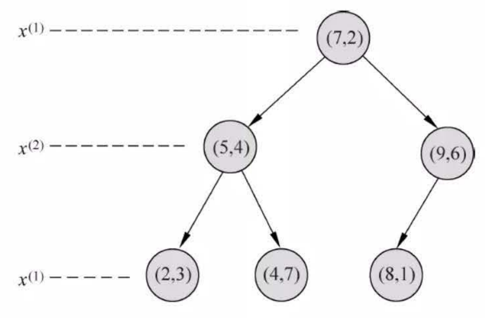
给定一个二维空间的数据集 \[ T=\left\{(2,3)^{\mathrm{T}},(5,4)^{\mathrm{T}},(9,6)^{\mathrm{T}},(4,7)^{\mathrm{T}},(8,1)^{\mathrm{T}},(7,2)^{\mathrm{T}}\right\} \]

构造一个平衡 \(k d\) 树。

data = [[2,3],[5,4],[9,6],[4,7],[8,1],[7,2]]
kd = KdTree(data)
preorder(kd.root)

Output[ ]

[7, 2]
[5, 4]
[2, 3]
[4, 7]
[9, 6]
[8, 1]
from time import perf_counter
from random import random

# 产生一个k维随机向量,每维分量值在0~1之间
def random_point(k):
return [random() for _ in range(k)]

# 产生n个k维随机向量
def random_points(k, n):
return [random_point(k) for _ in range(n)]
ret = find_nearest(kd, [3,4.5])
print (ret)

Output[ ]

Result_tuple(nearest_point=[2, 3], nearest_dist=1.8027756377319946, nodes_visited=4)

特征空间划分

例:kd树
N = 400000
t0 = perf_counter()
kd2 = KdTree(random_points(3, N)) # 构建包含四十万个3维空间样本点的kd树
ret2 = find_nearest(kd2, [0.1,0.5,0.8]) # 四十万个样本点中寻找离目标最近的点
t1 = perf_counter()
print ("time: ",t1-t0, "s")
print (ret2)

Output[ ]

time:  4.075719999964349 s
Result_tuple(nearest_point=[0.09993972407411433, 0.4996761242830129, 0.8017383410409034], nearest_dist=0.0017692818435128142, nodes_visited=25)

第3章 k近邻法-练习

1

  参照下图,在二维空间中给出实例点,画出\(k\)为1和2时的\(k\)近邻法构成的空间划分,并对其进行比较,体会\(k\)值选择与模型复杂度及预测准确率的关系。

解答:

%matplotlib inline
import numpy as np
from sklearn.neighbors import KNeighborsClassifier
import matplotlib.pyplot as plt
from matplotlib.colors import ListedColormap

data = np.array([[5, 12, 1], [6, 21, 0], [14, 5, 0], [16, 10, 0], [13, 19, 0],
[13, 32, 1], [17, 27, 1], [18, 24, 1], [20, 20,
0], [23, 14, 1],
[23, 25, 1], [23, 31, 1], [26, 8, 0], [30, 17, 1],
[30, 26, 1], [34, 8, 0], [34, 19, 1], [37, 28, 1]])
X_train = data[:, 0:2]
y_train = data[:, 2]

models = (KNeighborsClassifier(n_neighbors=1, n_jobs=-1),
KNeighborsClassifier(n_neighbors=2, n_jobs=-1))
models = (clf.fit(X_train, y_train) for clf in models)
titles = ('K Neighbors with k=1', 'K Neighbors with k=2')

fig = plt.figure(figsize=(15, 5))
plt.subplots_adjust(wspace=0.4, hspace=0.4)

X0, X1 = X_train[:, 0], X_train[:, 1]

x_min, x_max = X0.min() - 1, X0.max() + 1
y_min, y_max = X1.min() - 1, X1.max() + 1
xx, yy = np.meshgrid(np.arange(x_min, x_max, 0.2),
np.arange(y_min, y_max, 0.2))

for clf, title, ax in zip(models, titles, fig.subplots(1, 2).flatten()):
Z = clf.predict(np.c_[xx.ravel(), yy.ravel()])
Z = Z.reshape(xx.shape)
colors = ('red', 'green', 'lightgreen', 'gray', 'cyan')
cmap = ListedColormap(colors[:len(np.unique(Z))])
ax.contourf(xx, yy, Z, cmap=cmap, alpha=0.5)
ax.scatter(X0, X1, c=y_train, s=50, edgecolors='k', cmap=cmap, alpha=0.5)
ax.set_title(title)

plt.show()

Output[ ]

2

  利用\(T=\left\{(2,3)^{\mathrm{T}},(5,4)^{\mathrm{T}},(9,6)^{\mathrm{T}},(4,7)^{\mathrm{T}},(8,1)^{\mathrm{T}},(7,2)^{\mathrm{T}}\right\}\)构造的\(kd\)树求点\(x=(3,4.5)^T\)的最近邻点。

解答:

import numpy as np
from sklearn.neighbors import KDTree

train_data = np.array([(2, 3), (5, 4), (9, 6), (4, 7), (8, 1), (7, 2)])
tree = KDTree(train_data, leaf_size=2)
dist, ind = tree.query(np.array([(3, 4.5)]), k=1)
x1 = train_data[ind[0]][0][0]
x2 = train_data[ind[0]][0][1]

print("x点的最近邻点是({0}, {1})".format(x1, x2))

Output[ ]

x点的最近邻点是(2, 3)

3

  参照如下算法,写出输出为\(x\)\(k\)近邻的算法。

解答:
算法:用kd树的\(k\)近邻搜索
输入:已构造的kd树;目标点\(x\)
输出:\(x\)的最近邻

  1. \(kd\)树中找出包含目标点\(x\)的叶结点:从根结点出发,递归地向下访问树。若目标点\(x\)当前维的坐标小于切分点的坐标,则移动到左子结点,否则移动到右子结点,直到子结点为叶结点为止;
  2. 如果“当前\(k\)近邻点集”元素数量小于\(k\)或者叶节点距离小于“当前\(k\)近邻点集”中最远点距离,那么将叶节点插入“当前k近邻点集”;
  3. 递归地向上回退,在每个结点进行以下操作:
    (a)如果“当前\(k\)近邻点集”元素数量小于\(k\)或者当前节点距离小于“当前\(k\)近邻点集”中最远点距离,那么将该节点插入“当前\(k\)近邻点集”。
    (b)检查另一子结点对应的区域是否与以目标点为球心、以目标点与于“当前\(k\)近邻点集”中最远点间的距离为半径的超球体相交。如果相交,可能在另一个子结点对应的区域内存在距目标点更近的点,移动到另一个子结点,接着,递归地进行最近邻搜索;如果不相交,向上回退;
  4. 当回退到根结点时,搜索结束,最后的“当前\(k\)近邻点集”即为\(x\)的最近邻点。
# 构建kd树,搜索待预测点所属区域
from collections import namedtuple
import numpy as np


# 建立节点类
class Node(namedtuple("Node", "location left_child right_child")):
def __repr__(self):
return str(tuple(self))


# kd tree类
class KdTree():
def __init__(self, k=1):
self.k = k
self.kdtree = None

# 构建kd tree
def _fit(self, X, depth=0):
try:
k = self.k
except IndexError as e:
return None
# 这里可以展开,通过方差选择axis
axis = depth % k
X = X[X[:, axis].argsort()]
median = X.shape[0] // 2
try:
X[median]
except IndexError:
return None
return Node(location=X[median],
left_child=self._fit(X[:median], depth + 1),
right_child=self._fit(X[median + 1:], depth + 1))

def _search(self, point, tree=None, depth=0, best=None):
if tree is None:
return best
k = self.k
# 更新 branch
if point[0][depth % k] < tree.location[depth % k]:
next_branch = tree.left_child
else:
next_branch = tree.right_child
if not next_branch is None:
best = next_branch.location
return self._search(point,
tree=next_branch,
depth=depth + 1,
best=best)

def fit(self, X):
self.kdtree = self._fit(X)
return self.kdtree

def predict(self, X):
res = self._search(X, self.kdtree)
return res
KNN = KdTree()
X_train = np.array([[2, 3], [5, 4], [9, 6], [4, 7], [8, 1], [7, 2]])
KNN.fit(X_train)
X_new = np.array([[3, 4.5]])
res = KNN.predict(X_new)

x1 = res[0]
x2 = res[1]

print("x点的最近邻点是({0}, {1})".format(x1, x2))

Output[ ]

x点的最近邻点是(2, 3)