avatar
文章
162
标签
264
分类
71

主页
博文
  • 分类
  • 标签
  • 归档
留言板
StudyinCAU
搜索
主页
博文
  • 分类
  • 标签
  • 归档
留言板

第六节 多元函数微分学的几何应用

发表于2024-03-24|更新于2024-03-25|高等数学多元微积分第九章 多元函数微分法及其应用
|字数总计:26|阅读时长:1分钟|阅读量:

下载PDF点这里

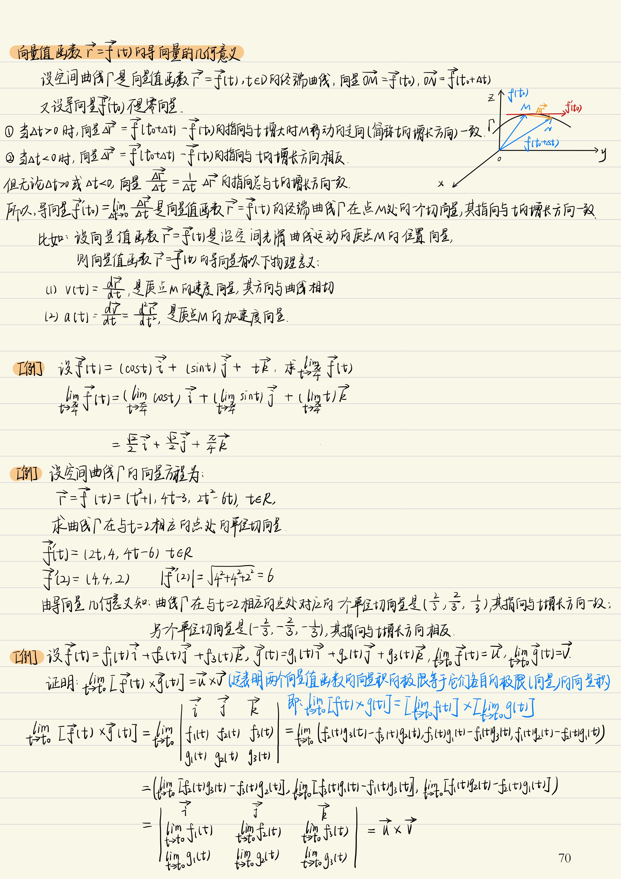
71.jpg
71.jpg
72.jpg
72.jpg
73.jpg
73.jpg
74.jpg
74.jpg
75.jpg
75.jpg
76.jpg
76.jpg
77.jpg
77.jpg
78.jpg
78.jpg
79.jpg
79.jpg
80.jpg
80.jpg
文章作者: 小楼一夜听春雨 & Rico
文章链接: https://studyincau.github.io/2024/03/24/duo-yuan-wei-ji-fen-9-6-duo-yuan-han-shu-wei-fen-xue-de-ji-he-ying-yong/
版权声明: 本博客所有文章除特别声明外,均采用 CC BY-NC-SA 4.0 许可协议。转载请注明来自 StudyinCAU!
多元函数
cover of previous post
上一篇
第三节 全微分
cover of next post
下一篇
第四节 多元复合函数的求导法则
相关推荐
cover
2024-03-17
第一节 多元函数的基本概念
cover
2024-03-17
第二节 偏导数

评论
avatar
小楼一夜听春雨 & Rico
Study
文章
162
标签
264
分类
71
Follow Me
公告
这是一个分享学习笔记(资料)的网站,欢迎一起学习、交流。如果你有好的文章也想分享,可以发邮箱(邮箱在公告上方~)[若出现渲染问题或加载过慢,推荐用谷歌或Edge浏览器打开]
最新文章
第六章 视觉处理基础
第六章 视觉处理基础2025-10-16
第五章 机器学习基础
第五章 机器学习基础2025-10-14
第四章 PyTorch 数据处理工具箱
第四章 PyTorch 数据处理工具箱2025-10-14
第三章 PyTorch 神经网络工具箱
第三章 PyTorch 神经网络工具箱2025-10-13
第二章 PyTorch 基础
第二章 PyTorch 基础2025-10-10
©2023 - 2025 By 小楼一夜听春雨 & Rico
框架 Hexo|主题 Butterfly
搜索
数据库加载中